Lecture 23
Cornell University
INFO 2951 - Spring 2026
April 16, 2026
ae-21Instructions
ae-21 (repo name will be suffixed with your GitHub name).renv::restore() to install the required packages, open the Quarto document in the repo, and follow along and complete the exercises.To predict the outcome of a new data point:
Image credit: Machine Learning for Everyone
How do we assess predictions here?
Root Mean Squared Error (RMSE)
Image credit: Kaylin Pavlik
High information gain per question (can it fly?)
Clear features (feathers vs. is it “small”?)
Order of features matters


Source: Australian Computing Academy






1. Pick a model + engine
2. Set the mode (if needed)
nn children chi non cover
2 children [.77 .23] when average_daily_rate >= 130 37%
3 none [.35 .65] when average_daily_rate < 130 63%


Here is our very-vanilla parsnip model specification for a decision tree (also in your qmd)…
And a workflow:
For decision trees, no recipe really required 🎉
Instructions
Fill in the blanks to return the accuracy and ROC AUC for this model using 10-fold cross-validation.
02:00
# A tibble: 3 × 6
.metric .estimator mean n std_err .config
<chr> <chr> <dbl> <int> <dbl> <chr>
1 accuracy binary 0.786 10 0.00706 pre0_mod0_post0
2 brier_class binary 0.156 10 0.00417 pre0_mod0_post0
3 roc_auc binary 0.833 10 0.00840 pre0_mod0_post0
args()Print the arguments (hyperparameters) for a {parsnip} model specification.
decision_tree()Specifies a decision tree model
either mode works!
decision_tree()Specifies a decision tree model
set_args()Change the arguments for a {parsnip} model specification.
tree_depthCap the maximum tree depth.
A method to stop the tree early. Used to prevent overfitting.
min_nSet minimum n to split at any node.
Another early stopping method. Used to prevent overfitting.
What value of min_n would lead to the most overfit tree?
min_n = 1
| {parsnip} arg | rpart arg |
default | overfit? |
|---|---|---|---|
tree_depth |
maxdepth |
30 | ⬆️ |
min_n |
minsplit |
20 | ⬇️ |
cost_complexityAdds a cost or penalty to error rates of more complex trees.
A way to prune a tree. Used to prevent overfitting.
Closer to zero ➡️ larger trees.
Higher penalty ➡️ smaller trees.

Small pot
Strong shears

Small pot Early stopping
Strong shears Pruning
| {parsnip} arg | rpart arg |
default | overfit? |
|---|---|---|---|
tree_depth |
maxdepth |
30 | ⬆️ |
min_n |
minsplit |
20 | ⬇️ |
cost_complexity |
cp |
.01 | ⬇️ |
There is an inverse relationship between model accuracy and model interpretability.
Ensemble methods combine many simple “building block” models in order to obtain a single and potentially very powerful model.
More info: Introduction to Statistical Learning with R
Decision trees suffer from high variance - small changes in the data can lead to very different trees
Bootstrap aggregation (or bagging) reduces the variance of a model by averaging the predictions of many models trained on different samples of the data.
To further improve performance over bagged trees, random forests introduce additional randomness in the model-building process to reduce the correlation across the trees.
rand_forest()Specifies a random forest model
either mode works!
rand_forest()Specifies a random forest model
Instructions
Create a new parsnip model called rf_mod, which will learn an ensemble of classification trees from our training data using the {ranger} engine. Update your tree_wf with this new model.
Fit your workflow with 10-fold cross-validation and compare the ROC AUC of the random forest to your single decision tree model — which predicts the assessment set better?
Hint: you’ll need https://www.tidymodels.org/find/parsnip/
04:00
# A tibble: 3 × 6
.metric .estimator mean n std_err .config
<chr> <chr> <dbl> <int> <dbl> <chr>
1 accuracy binary 0.827 10 0.00660 pre0_mod0_post0
2 brier_class binary 0.122 10 0.00226 pre0_mod0_post0
3 roc_auc binary 0.913 10 0.00387 pre0_mod0_post0
mtryThe number of predictors that will be randomly sampled at each split when creating the tree models.
{ranger} default = floor(sqrt(num_predictors))
tree_mod <- decision_tree(engine = "rpart") |>
set_mode("classification")
tree_wf <- workflow() |>
add_formula(children ~ .) |>
add_model(tree_mod)
set.seed(100)
tree_res <- tree_wf |>
fit_resamples(
resamples = hotels_folds,
control = control_resamples(save_pred = TRUE)
)
tree_res |>
collect_metrics()# A tibble: 3 × 6
.metric .estimator mean n std_err .config
<chr> <chr> <dbl> <int> <dbl> <chr>
1 accuracy binary 0.786 10 0.00706 pre0_mod0_post0
2 brier_class binary 0.156 10 0.00417 pre0_mod0_post0
3 roc_auc binary 0.833 10 0.00840 pre0_mod0_post0
# A tibble: 3 × 6
.metric .estimator mean n std_err .config
<chr> <chr> <dbl> <int> <dbl> <chr>
1 accuracy binary 0.827 10 0.00660 pre0_mod0_post0
2 brier_class binary 0.122 10 0.00226 pre0_mod0_post0
3 roc_auc binary 0.913 10 0.00387 pre0_mod0_post0
mtry valuesmtry = 5# A tibble: 3 × 6
.metric .estimator mean n std_err .config
<chr> <chr> <dbl> <int> <dbl> <chr>
1 accuracy binary 0.830 10 0.00567 pre0_mod0_post0
2 brier_class binary 0.121 10 0.00242 pre0_mod0_post0
3 roc_auc binary 0.913 10 0.00405 pre0_mod0_post0
mtry = 12# A tibble: 3 × 6
.metric .estimator mean n std_err .config
<chr> <chr> <dbl> <int> <dbl> <chr>
1 accuracy binary 0.828 10 0.00473 pre0_mod0_post0
2 brier_class binary 0.122 10 0.00257 pre0_mod0_post0
3 roc_auc binary 0.909 10 0.00414 pre0_mod0_post0
mtry = 21# A tibble: 3 × 6
.metric .estimator mean n std_err .config
<chr> <chr> <dbl> <int> <dbl> <chr>
1 accuracy binary 0.822 10 0.00597 pre0_mod0_post0
2 brier_class binary 0.124 10 0.00272 pre0_mod0_post0
3 roc_auc binary 0.906 10 0.00411 pre0_mod0_post0
tune()A placeholder for hyper-parameters to be “tuned”
tune_grid()A version of fit_resamples() that performs a grid search for the best combination of tuned hyper-parameters.
tune_grid()A version of fit_resamples() that performs a grid search for the best combination of tuned hyper-parameters.
tune_grid()A version of fit_resamples() that performs a grid search for the best combination of tuned hyper-parameters.
Here’s our random forest model plus workflow to work with.
Here is the output from fit_resamples()…
# A tibble: 3 × 6
.metric .estimator mean n std_err .config
<chr> <chr> <dbl> <int> <dbl> <chr>
1 accuracy binary 0.827 10 0.00660 pre0_mod0_post0
2 brier_class binary 0.122 10 0.00226 pre0_mod0_post0
3 roc_auc binary 0.913 10 0.00387 pre0_mod0_post0
Instructions
Edit the random forest model to tune the mtry and min_n hyperparameters.
Update your workflow to use the tuned model.
Then use tune_grid() to find the best combination of hyper-parameters to maximize roc_auc; let {tune} set up the grid for you.
How does it compare to the average ROC AUC across folds from fit_resamples()?
05:00
# A tibble: 30 × 8
mtry min_n .metric .estimator mean n std_err
<int> <int> <chr> <chr> <dbl> <int> <dbl>
1 1 14 accuracy binary 0.787 10 0.00519
2 1 14 brier_class binary 0.172 10 0.00157
3 1 14 roc_auc binary 0.880 10 0.00422
4 3 31 accuracy binary 0.825 10 0.00661
5 3 31 brier_class binary 0.128 10 0.00211
6 3 31 roc_auc binary 0.908 10 0.00395
7 5 2 accuracy binary 0.829 10 0.00564
8 5 2 brier_class binary 0.121 10 0.00254
9 5 2 roc_auc binary 0.913 10 0.00423
10 7 18 accuracy binary 0.831 10 0.00573
# ℹ 20 more rows
# ℹ 1 more variable: .config <chr>
tune_grid()A version of fit_resamples() that performs a grid search for the best combination of tuned hyper-parameters.
expand_grid()Takes one or more vectors, and returns a data frame holding all combinations of their values.
show_best()Shows the n most optimum combinations of hyper-parameters
# A tibble: 5 × 8
mtry min_n .metric .estimator mean n std_err .config
<int> <int> <chr> <chr> <dbl> <int> <dbl> <chr>
1 5 2 roc_auc binary 0.913 10 0.00423 pre0_m…
2 7 18 roc_auc binary 0.912 10 0.00373 pre0_m…
3 12 6 roc_auc binary 0.910 10 0.00411 pre0_m…
4 9 35 roc_auc binary 0.908 10 0.00389 pre0_m…
5 3 31 roc_auc binary 0.908 10 0.00395 pre0_m…
autoplot()Quickly visualize tuning results
fit_best()tune() placeholders in a model/recipe/workflow with a set of hyper-parameter values
We are ready to touch the jewels…
The testing set!
Instructions
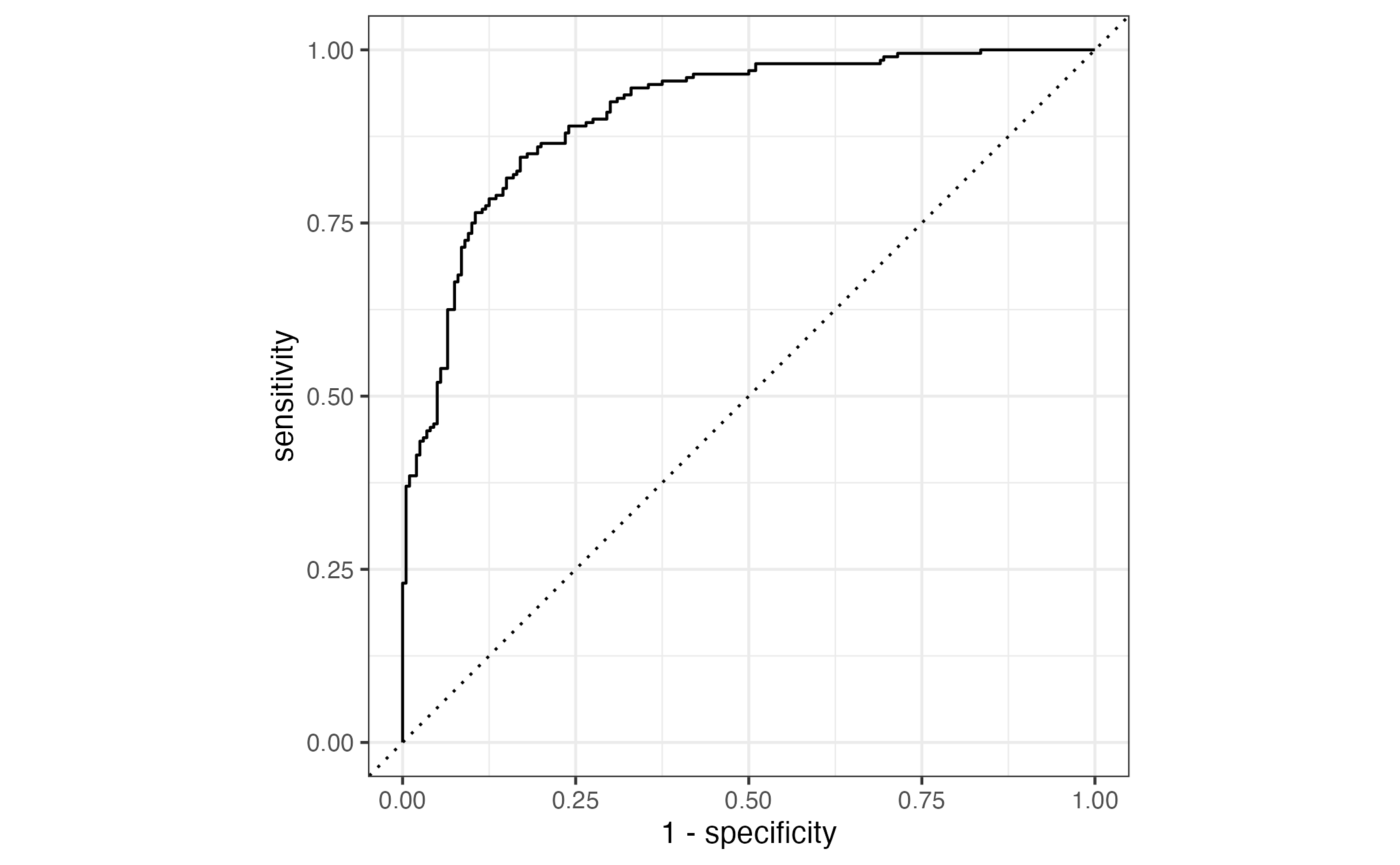
Use fit_best() to take the best combination of hyper-parameters from rf_results and use them to predict the test set.
How does our actual test ROC AUC compare to our cross-validated estimate?
05:00
# A tibble: 1 × 8
mtry min_n .metric .estimator mean n std_err .config
<int> <int> <chr> <chr> <dbl> <int> <dbl> <chr>
1 5 2 roc_auc binary 0.913 10 0.00423 pre0_m…
# A tibble: 1 × 3
.metric .estimator .estimate
<chr> <chr> <dbl>
1 roc_auc binary 0.907
# here comes the actual ML bits…
# pick model to tune
rf_tuner <- rand_forest(
engine = "ranger",
mtry = tune(),
min_n = tune()
) |>
set_mode("classification")
rf_wf <- workflow() |>
add_formula(children ~ .) |>
add_model(rf_tuner)
rf_results <- rf_wf |>
tune_grid(
resamples = hotels_folds,
control = control_grid(
save_pred = TRUE,
save_workflow = TRUE
)
)# A tibble: 10 × 4
# Groups: .config, mtry [10]
.config mtry min_n folds
<chr> <int> <int> <int>
1 pre0_mod01_post0 1 14 10
2 pre0_mod02_post0 3 31 10
3 pre0_mod03_post0 5 2 10
4 pre0_mod04_post0 7 18 10
5 pre0_mod05_post0 9 35 10
6 pre0_mod06_post0 12 6 10
7 pre0_mod07_post0 14 23 10
8 pre0_mod08_post0 16 40 10
9 pre0_mod09_post0 18 10 10
10 pre0_mod10_post0 21 27 10
# A tibble: 5 × 8
mtry min_n .metric .estimator mean n
<int> <int> <chr> <chr> <dbl> <int>
1 5 2 roc_auc binary 0.914 10
2 7 18 roc_auc binary 0.911 10
3 12 6 roc_auc binary 0.910 10
4 3 31 roc_auc binary 0.909 10
5 9 35 roc_auc binary 0.908 10
# ℹ 2 more variables: std_err <dbl>,
# .config <chr>
# A tibble: 1 × 3
mtry min_n .config
<int> <int> <chr>
1 5 2 pre0_mod03_post0

══ Workflow [trained] ══════════════════════════════════════════════════════════════════════════════
Preprocessor: Formula
Model: rand_forest()
── Preprocessor ────────────────────────────────────────────────────────────────────────────────────
children ~ .
── Model ───────────────────────────────────────────────────────────────────────────────────────────
Ranger result
Call:
ranger::ranger(x = maybe_data_frame(x), y = y, mtry = min_cols(~5L, x), min.node.size = min_rows(~2L, x), num.threads = 1, verbose = FALSE, seed = sample.int(10^5, 1), probability = TRUE)
Type: Probability estimation
Number of trees: 500
Sample size: 3600
Number of independent variables: 21
Mtry: 5
Target node size: 2
Variable importance mode: none
Splitrule: gini
OOB prediction error (Brier s.): 0.119472